Файлообменники 2015 - обсуждаем работу и возможные перспективы - 14

Слонн
На сайте с 18.07.2011
Offline
266
#431
McIntyre:
Етить-колотить! Эта фраза сломала мой мозг...

Какой нежный аппарат, могу плеснуть Страны камней семёрку дабы отремонтить))

Про абузы ваще стало тихо, забыл когда их наблюдал последний раз.

Заработать на файлообменниках реально? (http://zarabotayxyz.ixbb.ru/)
freelancerbay
На сайте с 29.06.2009
Offline
128
#432

Хочу попробовать добавлять mp3 архивы на ФО. Подскажите, пожалуйста, какие на данный момент могут дать больший доход и являются более-менее надежными. Стану рефом. Спасибо.

slavegirl
На сайте с 25.06.2012
Offline
406
#433
romeono:
А сколько у тебя ссылок на рыжем и синем заводе? И где они?
Ну это так, чтобы сравнить.... Не верю, что одинаково.

romeono, если взять, к примеру, два моих форума, за предыдущий год по ссылкам rapidgator.net / rg.to в сумме было осуществлено переходов: 354,891 тыс. Доход с доменных продаж за год составил: $99.54 (или $8.30 в месяц):

Даже если представить, что шейв на Рапидгаторе - выдумка больной фантазии и "система работает корректно", стоимость одного клика по ссылке на скачивание с РГ равна: $0.00028. В то время, когда средняя цена клика на этих форумах по баннерам с ExoClick - 2.9 цента! То есть, размещать рекламу на своих сайтах примерно в 100 раз выгоднее (при условии, что по ней будут кликать с такой же частотой), чем наполнять их ссылками с Рапидгатора. Причин такой низкой конверсии на РГ может быть несколько:

  • На данном файлообменнике работают исключительно школьники, загружающие материал 10-летней давности с Порнолаба, который практически не продается.
  • В результате массовой очистки серверов от файлов партнеров количество "мёртвых" ссылок на сайтах значительно превышает число "рабочих". А как известно, на недоступном для скачивания файле никто премиум покупать не станет (за редкими исключениями, описанными немного выше).
  • Продажи премиумов от нас попросту прячут, что более вероятно.

Но не так уж плох Рапидгатор, как может показаться на первый взгляд. Как ни крути, публикуемый контент со ссылками на него генерирует огромное количество трафика, и при грамотном подходе его можно монетизировать другими способами. Люди приходят на сайты, остаются на них и через время начинают покупать премиумы уже на других обменниках, которые ведут честный учёт продаж. Я лично уже давно научилась конвертировать РГ-трафик в деньги с помощью альтернативных (непрямых) методов. Но большинству других владельцев сайтов по-видимому лень этим заниматься, соответственно не так давно начался массовый запрет этого файлообменника на ряде других форумов.

----------

Теперь немного о LaFiles. За предыдущий год с моих форумов было сделано 31,229 тыс. переходов по ссылкам на скачивание lafiles.com (в ~11 раз меньше, чем на Рапидгатор). В сумме за год это принесло $576.82 с доменных отчислений (или $48.07 в месяц, что, кстати, полностью покрывает стоимость месячной аренды серверов, на которых расположены форумы). Если рассчитать цену одного клика по ссылкам на скачивание, то она равна: $0.018 (или в 64 раза (!) выше, чем у РГ). Спрашивается, куда Рапидгатор девает наши деньги? Если бы ссылок на LaFiles на форумах было бы такое же количество, как на РГ, я бы при такой конверсии зарабатывала больше половины тысячи долларов в месяц только с доменных отчислений! Но вебмастера год за годом продолжают за бесплатно трудиться на заводе, выплачивающем зарплату болтами и гайками, упорно не замечая нефтяной скважины в собственном огороде...

Вся статистика по количеству переходов на тот или иной обменник собирается с помощью трекинга от Google Analytics с целью последующего изучения и определения самых прибыльных файлообменников.

🔞 Как вернуть трафик после Core Update ––  https://t.me/FilesKings/73558
creativius
На сайте с 11.12.2011
Offline
203
#434
freelancerbay:
Хочу попробовать добавлять mp3 архивы на ФО. Подскажите, пожалуйста, какие на данный момент могут дать больший доход и являются более-менее надежными. Стану рефом. Спасибо.

ПОд РУ одни ФО, а под Бурж другие, Вам куда надо?

подпись
J2
На сайте с 19.02.2011
Offline
82
#435
slavegirl:
romeono, если взять, к примеру, два моих форума, за предыдущий год по ссылкам rapidgator.net / rg.to в сумме было осуществлено переходов: 354,891 тыс. Доход с доменных продаж за год составил: $99.54 (или $8.30 в месяц):



Даже если представить, что шейв на Рапидгаторе - выдумка больной фантазии и "система работает корректно", стоимость одного клика по ссылке на скачивание с РГ равна: $0.00028. В то время, когда средняя цена клика на этих форумах по баннерам с ExoClick - 2.9 цента! То есть, размещать рекламу на своих сайтах примерно в 100 раз выгоднее (при условии, что по ней будут кликать с такой же частотой), чем наполнять их ссылками с Рапидгатора. Причин такой низкой конверсии на РГ может быть несколько:

  • На данном файлообменнике работают исключительно школьники, загружающие материал 10-летней давности с Порнолаба, который практически не продается.
  • В результате массовой очистки серверов от файлов партнеров количество "мёртвых" ссылок на сайтах значительно превышает число "рабочих". А как известно, на недоступном для скачивания файле никто премиум покупать не станет (за редкими исключениями, описанными немного выше).
  • Продажи премиумов от нас попросту прячут, что более вероятно.


Но не так уж плох Рапидгатор, как может показаться на первый взгляд. Как ни крути, публикуемый контент со ссылками на него генерирует огромное количество трафика, и при грамотном подходе его можно монетизировать другими способами. Люди приходят на сайты, остаются на них и через время начинают покупать премиумы уже на других обменниках, которые ведут честный учёт продаж. Я лично уже давно научилась конвертировать РГ-трафик в деньги с помощью альтернативных (непрямых) методов. Но большинству других владельцев сайтов по-видимому лень этим заниматься, соответственно не так давно начался массовый запрет этого файлообменника на ряде других форумов.

----------

Теперь немного о LaFiles. За предыдущий год с моих форумов было сделано 31,229 тыс. переходов по ссылкам на скачивание lafiles.com (в ~11 раз меньше, чем на Рапидгатор). В сумме за год это принесло $576.82 с доменных отчислений (или $48.07 в месяц, что, кстати, полностью покрывает стоимость месячной аренды серверов, на которых расположены форумы). Если рассчитать цену одного клика по ссылкам на скачивание, то она равна: $0.018 (или в 64 раза (!) выше, чем у РГ). Спрашивается, куда Рапидгатор девает наши деньги? Если бы ссылок на LaFiles на форумах было бы такое же количество, как на РГ, я бы при такой конверсии зарабатывала больше половины тысячи долларов в месяц только с доменных отчислений! Но вебмастера год за годом продолжают за бесплатно трудиться на заводе, выплачивающем зарплату болтами и гайками, упорно не замечая нефтяной скважины в собственном огороде...

Вся статистика по количеству переходов на тот или иной обменник собирается с помощью трекинга от Google Analytics с целью последующего изучения и определения самых прибыльных файлообменников.

Могу подтвердить по своим форумам, с рапидгатора ужасный конверт

Покупаю ссылки с адалт бурж сайтов - дорого
freelancerbay
На сайте с 29.06.2009
Offline
128
#436
creativius:
ПОд РУ одни ФО, а под Бурж другие, Вам куда надо?

Под РУ траф

[Удален]
#437
VasyaSSS:



Всегда будет контент, которого нет на торрентах или там он появляется с сильным опозданием (ибо не так много недалеких альтруистов, готовых за виртуальные звездочки торрентов лить свежие файлы и эксклюзив). И всегда будут западные пользователи, которые используют ФО по причине безопасности, а не удобства. Им лучше заплатить 15$ за месячник на ФО, чем 15000$ за один несчастный фильм, скаченный с торрента "нелегально".

такие и 50 долларов заплатят и скачают с платкика а потом на тот же торрент выложат

сейчас у многих файлообменниках платежки дрянь просто помои да и к тому же сервисы дебриды практически уже убили эту отрасль

L9
На сайте с 29.01.2015
Offline
1
#438

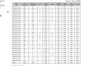
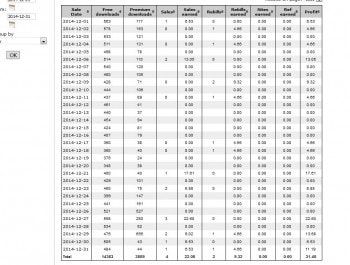
Парни, а что за модерация на ребилле? Все мои сообщения проверяются, но проходят не все. Вчера, например, выложил стату на асе за 2 месяца после поста Слонн'а, но сообщение не появилось..

Странно.. вроде стата шикарная )

Конверт, примерно, 1:1000 ))

Странно, что у меня в акке "Total" отображает только количество скачиваний. Количество продаж, ребиллов, суммы не отображаются.

noob_
На сайте с 28.01.2012
Offline
64
#439

мдаа очень плохо, а я хотель поднять темы на форумах.

кто с асфайлом? у кого хороший конверт?

!!!!!!!
XB
На сайте с 08.04.2012
Offline
57
#440

Судя по всему АС начал сливаться. А на ребиле у меня таже бадяга выставил скрины но они не прошли модерацию. Там можно только всех хвалить и ни ни чтобы сказать против))

---------- Добавлено 29.01.2015 в 19:07 ----------

конверт был у меня неплохой до недавнего времени

Авторизуйтесь или зарегистрируйтесь, чтобы оставить комментарий