- Поисковые системы
- Практика оптимизации
- Трафик для сайтов
- Монетизация сайтов
- Сайтостроение
- Социальный Маркетинг
- Общение профессионалов
- Биржа и продажа
- Финансовые объявления
- Работа на постоянной основе
- Сайты - покупка, продажа
- Соцсети: страницы, группы, приложения
- Сайты без доменов
- Трафик, тизерная и баннерная реклама
- Продажа, оценка, регистрация доменов
- Ссылки - обмен, покупка, продажа
- Программы и скрипты
- Размещение статей
- Инфопродукты
- Прочие цифровые товары
- Работа и услуги для вебмастера
- Оптимизация, продвижение и аудит
- Ведение рекламных кампаний
- Услуги в области SMM
- Программирование
- Администрирование серверов и сайтов
- Прокси, ВПН, анонимайзеры, IP
- Платное обучение, вебинары
- Регистрация в каталогах
- Копирайтинг, переводы
- Дизайн
- Usability: консультации и аудит
- Изготовление сайтов
- Наполнение сайтов
- Прочие услуги
- Не про работу
Все что нужно знать о DDоS-атаках грамотному менеджеру
И как реагировать на "пожар", когда неизвестно, где хранятся "огнетушители
Антон Никонов
В 2023 году 36,9% всех DDoS-атак пришлось на сферу финансов
А 24,9% – на сегмент электронной коммерции
Оксана Мамчуева
Авторизуйтесь или зарегистрируйтесь, чтобы оставить комментарий
Зачем нужно замыкать перелинковку и что будет, если этого не сделать?
Допустим я собрался написать 100 статей и буду ссылаться с каждой новой статьи на какую-то старую, но если мне нужно будет написать больше 100 статей? Как у меня получится замкнуть этот круг, если я буду постоянно писать новые статьи?
При это мне нужно продвигать только статьи, продвигать разделы или главную нет особого смысла. Что посоветуете?
Почему бы для автоматической перелинковки не использовать плагин специальный? На многих движках есть.
Например, после статьи а-ля "Читайте также следующую статью <a>название статьи</a> "
да не нужно замыкать. всё, что курсирует в инете, устарело. перелинковка должна быть в первую очередь логичной, незачем ссылаться на гвозди, если кто-то покупает сапоги.
Треснет мир напополам и задымит разлом.
Почему бы для автоматической перелинковки не использовать плагин специальный? На многих движках есть.
Например, после статьи а-ля "Читайте также следующую статью <a>название статьи</a> "
Не советую полагаться на подобные плагины. Человеческая интуицию и логику они не заменили. Я проверял. =)
Не устаю повторять, прежде всего нужно определиться с целью. Для чего нужна перелинковка и исходя из этого уже предпринимать дальнейшие действия.
В любом случае универсальный метод это ориентировка на посетителя, то есть исходить из его интересов. А все схемы это не более чем накрутки в которых с каждым разом все меньше смысла.
2016 год на дворе. Хватит спамить и делать перелинковку ради перелинковки.
Перелинковка должна быть логичной, и должна как-бы подталкивать посетителя перейти по ссылке... Соответственно она должна намекать на еще большее раскрытие каких-то определенных моментов.
zen_igor, конечно что бы удержать посетителя на сайте, то лучше линковать схожие материалы, что бы было интересно читателю.
А вот для того что бы поисковый робот понял стркутуру сайта думаю с 1 на 2 и с 2 на НЧ должно быть.
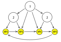
Зачем нужно замыкать перелинковку и что будет, если этого не сделать?
По теории распределения классического PR при таком замыкании получается максимальный статический вес на всех страницах с НЧ.
Если не замкнуть - статвес будет неравномерно распределяться по НЧ-страницам (на нижней правой по вашему рисунку будет самый большой).
При это мне нужно продвигать только статьи, продвигать разделы или главную нет особого смысла. Что посоветуете?
Интересная такая задача. А почему нет смысла продвигать главную?